티스토리 뷰
728x90
문제
https://www.acmicpc.net/problem/1699
1699번: 제곱수의 합
어떤 자연수 N은 그보다 작거나 같은 제곱수들의 합으로 나타낼 수 있다. 예를 들어 11=32+12+12(3개 항)이다. 이런 표현방법은 여러 가지가 될 수 있는데, 11의 경우 11=22+22+12+12+12(5개 항)도 가능하다
www.acmicpc.net
풀이 및 소스코드
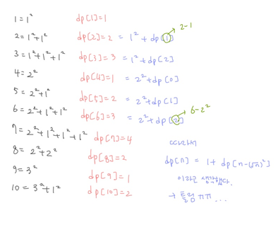
처음에는 아래와 같이 생각했다.
n의 가장 가까운 제곱수 하나와 n에서 제곱수의 값을 뺀 수의 제곱수의 개수를 더하면 된다 ! 라고!
dp[10] 일 때, 10의 가장 가까운 제곱 수인 3^2 하나와 10-9 = 1인 dp[1]의 값을 더하면 될 것이라고 생각했다.

하지만 틀렸습니다 라는 결과가 나왔다. ㅜㅜ
또 다시 한 번 생각해봤다.
dp[10] = dp[1]+dp[9] = 2
= dp[2]+dp[8] = 4
= dp[3]+dp[7] = 7
= dp[4]+dp[6] = 4
= dp[5]+dp[5] = 4 의 최소값인 2가 정답이라는 것이 보였다.
위의 방법을 코드로 나타내면 아래와 같다 !
import java.io.BufferedReader;
import java.io.IOException;
import java.io.InputStreamReader;
class Main {
public static void main(String[] args) throws NumberFormatException, IOException {
BufferedReader br = new BufferedReader(new InputStreamReader(System.in));
int n = Integer.parseInt(br.readLine());
int[] dp = new int[n+1];
dp[1] = 1;
for(int i=2;i<=n;i++) {
dp[i] = 10001;
for(int j=1;j<=i/2;j++) {
if(j*j==i) {
dp[i] = 1;
break;
}
dp[i] = Math.min(dp[i], dp[j]+dp[i-j]);
}
}
System.out.println(dp[n]);
}
}반응형
'Coding - Algo > Java' 카테고리의 다른 글
| [백준] 17070번:파이프 옮기기 1 (Java 자바) (0) | 2021.09.21 |
|---|---|
| [백준] 1715번:카드 정렬하기 (Java 자바) (0) | 2021.09.20 |
| [백준] 1956번:운동 (Java 자바) (0) | 2021.09.18 |
| [백준] 9461번:파도반 수열 (Java 자바) (0) | 2021.09.18 |
| [백준] 14502번:연구소 (Java 자바) (0) | 2021.09.18 |
공지사항
최근에 올라온 글
최근에 달린 댓글
- Total
- Today
- Yesterday
링크
TAG
- union-find
- 파이썬
- ubuntu
- 프로그래머스 더 맵게
- 1699 자바
- swea 4070 타일링
- 1240 자바
- swea 타일링
- swea 1240
- SWEA
- 프로그래머스 파이썬
- 백준파이썬
- 3996 자바
- swea 타일링 자바
- swea 1240 자바
- 백준
- 우분투
- 삼성청년SW아카데미
- 백준 dp 문제
- yoloV3
- 프로그래머스 자바
- poker swea
- 파이썬 풀이
- SSAFY
- 더 맵게
- 타일링 자바
- 백준 17144
- 메뉴리뉴얼 풀이
- 백준 풀이
- 프로그래머스
| 일 | 월 | 화 | 수 | 목 | 금 | 토 |
|---|---|---|---|---|---|---|
| 1 | 2 | 3 | ||||
| 4 | 5 | 6 | 7 | 8 | 9 | 10 |
| 11 | 12 | 13 | 14 | 15 | 16 | 17 |
| 18 | 19 | 20 | 21 | 22 | 23 | 24 |
| 25 | 26 | 27 | 28 | 29 | 30 | 31 |
글 보관함